一、色谱柱固有属性
柱长,柱经,粒径是柱子的固有属性,柱效取决于填料种类。

在填料种类相同的情况下,柱效与柱长成正比,与粒径成反比,柱效与柱长和粒径的比值有关,比值越大柱效越高。
二、色谱柱分析属性
流速,柱压,分离度,分析时间,柱容量与进样体积,是柱子的分析属性。容量因子与洗脱强度决定柱子与分析参数。柱子在最优的条件下达到最佳柱效。
1、最佳流速——只与柱径有关,柱径越大,最佳流速越大,消耗的溶剂越多。

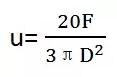
2、最佳柱压——对于给定的色谱柱,最佳流速下的柱压就是最佳柱压,柱压的大小与流动相的种类黏度和配比有关,也与色谱柱柱温有关。

柱压与流速成正比,与柱效成正比,与流动相黏度成正比,与柱温成反比。
3、最佳分离度——分离度与柱长成正比,与柱效成正比,与粒径成反比。
4、分析时间——分析时间与柱长成正比,柱子越短,分析时间越短,反之越长。
5、柱容量与进样体积——柱容量只与柱经和柱长有关,柱子体积越小,柱容量越小;进样体积与柱容量成正比,柱容量越小,消耗样品越少。
![]()
6、容量因子与洗脱强度——洗脱强度越大,容量因子越小,保留越弱,出峰越早;洗脱强度越小,容量因子越大,保留越强,出峰越晚。
其实超高效液相色谱仪就是利用了色谱柱的固有属性和分析属性。超高效液相色谱,使用小颗粒短柱,提高柱效,降低柱压,缩短分析时间,降低溶剂消耗,减小样品损失,提高分析效率,降低分析成本。
三、洗脱时间与柱体积关系
洗脱时间与柱体积成正比,与流速成反比。

四、梯度转换与转换系数

(内容参考仪器信息网)

