实验室精密仪器作为实验室检验的基础设备,需要时刻保持其检测的准确性,否则实验检测结果的可信度将无法得到保证。除了进行外部的校准与检定来确保其数据准确性外,实验室内部也能进行对仪器性能良好的自我评定。
实验室内部也可以对精密设备进行自我检查与测定,判断其是否处于良好的使用状态,那便是仪器期间核查。什么是“期间核查”呢?期间核查(intermediatechecks)是指为保持对设备校准状态的可信度,在两次检定之间进行的核查,包括设备的期间核查和参考标准器的期间核查,二者合起来本质上相当于ISO/IEC导则25(1990)中的运行检查。通过期间核查可以增强实验室的信心,保证检测数据的准确可靠。
本文主要介绍实验室是如何进行高效液相色谱仪的期间核查的?
一、高效液相色谱仪期间核查要确认的项目
首先来看一下期间核查中,实验室高效液相色谱仪要进行哪些项目的确认?
1、外观;
2、泵流量设定值误差SS与流量稳定性误差的检定SR;
3、基线噪声和基线漂移;
4、机器性能(定性、定量重复性)。
二、高效液相色谱仪期间核查具体过程
实验室如何对该4个项目的进行核查呢?
1、外观
核查手段:现场查看仪器查看指标 (下表为检查项目列举):
检查项目 | 标准要求 |
贮液器是否清洁 | 无长菌,液体透明 |
滤头是否堵塞 | 无堵塞、无气泡、压力平稳 |
仪器电源线、信号线等插接是否紧密 | 电源插头无松动 |
开关、旋钮、按键等功能是否正常,指示灯是否灵敏 | 指示灯正常明亮 |
接上色谱柱平衡系统后用滤纸检查各管路接口是否漏液 | 滤纸无吸出液体 |
2、泵流量设定值误差SS
核查手段:现场操作并记录
核查方法:分别设定流量为0.5mL/min 、1.0mL/min、2.0mL/min,启动仪器,压力稳定后,在流动相出口处用事先清洗称重过的容量瓶收集流动相,同时用秒表计时,收集5min流出的流动相,在分析天平上称重,按式计算SS和SR。

式中:

判断标准:
流量设定值,mL/min | 0.5 | 1.0 | 2.0 | |
测量次数 | 3 | 3 | 3 | |
收集流动相时间min | 5 | 5 | 5 | |
允许误差 | SS | 5% | 3% | 2% |
SR | 3% | 2% | 2% | |
3、基线噪声和基线漂移
核查手段:现场操作并记录;
核查方法:选用C18色谱柱,以甲醇:0.02mol/L乙酸铵=5:95为流动相,流速为1.0mL/min,紫外检测器的波长选在222nm,检测灵敏度调到最灵敏档,开机预热,待仪器稳定后记录基线10 min,由检测器的衰减倍数和测得的基线峰-峰高对应标度,计算基线噪声,用检测器自身的物理量(AU)作单位表示。基线漂移用1小时内基线偏离原点的值(AU/h)表示。
判断标准:基线噪声≤5×10-4AU,基线漂移≤5×10-3AU/h。
4、机器性能(定性、定量重复性)
核查手段:现场操作并记录
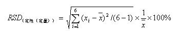
核查方法:选用C18色谱柱,根据检测器选择流动相和测量参数:以甲醇:0.02mol/L乙酸铵=5:95为流动相,流速为1.0mL/min,紫外检测器的波长选在222nm,基线稳定后由进样器注入20μL的标准溶液,连续测量6次,记录色谱峰的保留时间和峰面积。按式计算相对标准偏差RSD。
式中:RSD[定性(定量)]-定性(定量)测量重复性相对标准偏差;
![]()
(内容来源汤臣倍健公司检测中心)
相关阅读:

